Špedicije proizvoda
| Proizvodi | Specifikacija | Količina bočica | Obrazac za pakiranje |
| Omeprazole natrijum za ubrizgavanje | CP; | 7ml kadica Boial | 50Vials \/ kutija |
| 10vials \/ kutija | |||
| 1vials \/ kutija | |||
| (1vial +1 otapalo) \/ kutija | |||
| 10ml kadica boilu | 50Vials \/ kutija | ||
| 10vials \/ kutija | |||
| 1vials \/ kutija | |||
| (1vial +1 otapalo) \/ kutija |



Sastav omeprazole natrijuma za ubrizgavanje

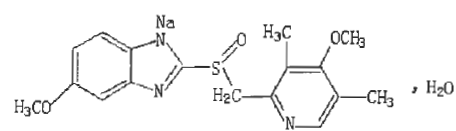
Omeprazol natrijum za ubrizgavanje prah je jedan liofilizirani prah u bočici, sadrži omeprazole natrijum ekvivalent 40mg omeprazola.
Molekularna formularna:je C17H18Nan3O3S · H2O,
Molekularna težina:385.41.
Omeprazol natrijum liofilizirani prah za ubrizgavanje je bijele ili gotovo bijele labave mase ili pudere.
Doza i primjena Omeprazola natrijuma za ubrizgavanje
Doza i način primjene kod pacijenata s čirom za dvanaestor, čir za gastrični čir ili refluks oeoophagitis gdje je oralni lijek neprikladan, preporučuje se omeprazol ubrizgavanje 40 mg jednom dnevno. U bolesnika sa sindrom Zollinger-Ellison preporučena početna doza omeprazola data intravenski je 60 mg dnevno. Možda će biti potrebne veće dnevne doze, a doza treba podesiti pojedinačno. Kada doze prelaze 60 mg dnevno, doza treba biti podijeljena i dva puta dnevno.
Način primjene Omeprazole ubrizgavanje 40 mg treba dati kao spor intravensko ubrizgavanje. Rješenje za IV injekciju dobiva se dodavanjem na bočicu 10 ml predviđenog otapala. (Ne treba koristiti drugi otapalo). Može se pojaviti promjena boje ako se koristi netačna tehnika rekonstitucije. Za praktične informacije o rekonstituciji potražite umetnik paketa. Nakon rekonstitucije, ubrizgavanje treba polako dati u periodu od najmanje 2,5 minuta maksimalnom brzinom od 4 ml u minuti. Rješenje treba koristiti u roku od 4 sata od rekonstitucije.
Posebna upozorenja i mjere predostrožnosti za upotrebu natrijuma omeprazola za ubrizgavanje
U prisustvu bilo kakvog simptoma alarma (npr. Značajan nenamjerno gubitak kilograma, ponavljajući povraćanje, disfagiju, hematemezi ili melena) i kada se u čiru želuca sumnja ili prisutna, mogućnost zloćudnosti treba biti isključena kao tretman ublažavajući simptome i odgodu dijagnozu.
Farmakokinetika omeprazola natrijum za ubrizgavanje
Metabolizam i izlučivanje
Prosječni poluživot terminalne faze krivulje koncentracije u plazmi nakon iV administracije omeprazola otprilike je 4 0 minuta. Ukupna klirensa plazme je 0. 3 do 0,6 l \/ min. Nema promjene u poluživotu tokom liječenja.
Omeprazol je u potpunosti metaboliziran od strane Cytochrome P450 sistema (CYP), uglavnom u jetri. Glavni dio njenog metabolizma ovisi o polimorfnički izraženoj, specifičnim ISOforma CYP2C19 (s-mefenytoin hidroksilazom), odgovoran za formiranje hidroksiomerazola, glavnog metabolita u plazmi. U skladu s tim, kao posljedica konkurentske inhibicije postoji potencijal za metaboličke interakcije lijekova protiv droge između omeprazola i drugih supstrata za CYP2C19.
Nije utvrđeno da metabolit nema uticaja na izluču u gastrinskoj kiselini. Gotovo 80% intravenski date doze izlučuje se kao metaboliti u urinu, a ostatak se nalazi u fekalijama, prvenstveno porijeklom iz žučne sekrecije.
Eliminacija omeprazola nepromijenjena je kod pacijenata sa smanjenom bubrežnom funkcijom. Poluživot eliminacije povećava se kod pacijenata sa oštećenom funkcijom jetre, ali omeprazol nije pokazao nikakvu akumulaciju sa jednom dnevnom doziranju.
Indikacije:
Omeprazol natrijum za ubrizgavanje je zamijenjen naznačen za liječenje sindroma Zollinger-Ellison, a također se koristi za liječenje čira na želucu, duodenal čir i refluks oeoophagitis kada je oralni lijek neprikladan.
Doziranje i primjena Omeprazola natrijuma za ubrizgavanje
IV infuzija: Rastvorite sa sadržajem u 1 0 0ml od 0,9% natrijum-hlorida ili 100ml od 5% ubrizgavanja glukoze, trajanje procesa ubrizgavanja treba biti postojano 20 minuta do 30 minuta ili prelazi dužinu.
Kada su oralni lijek u liječenju čir za gastričnu, duodenalni čir i refluks oeoophagitis neprimjeren, preporučuje se 40 mg dnevno natrijuma omeprazola.
Zollinger-Ellison sindrom Preporučena početna doza omeprazola natrijuma za ubrizgavanje date intravenski 40mg dnevno. Možda će biti potrebne veće dnevne doze, a doza treba podesiti pojedinačno. Kada doze prelaze 60 mg dnevno, doza treba biti podijeljena i dva puta dnevno.
Neželjena reakcija natrijuma Omeprazola za ubrizgavanje
Omeprazol natrijum za ubrizgavanje je dobro toleriran, a neželjena reakcija uglavnom su bile blage i reverzibilne. Sljedeći događaji prijavljeni su u kliničkim ispitivanjima ili izviještene iz rutinske namjene. Ali u mnogim slučajevima nije uspostavljen odnos na liječenje Omeprazolama
Koriste se sljedeće definicije frekvencija:
Zajednički veći ili jednak 1\/100
Neuobičajen veći od ili jednak 1\/1, 000 i<1/100
Rijedak<1/1,000
Uobičajen
Središnji i periferni nervni sistem: glavobolja
Gastrointestinalna proljeva, zatvor, bol u trbuhu, mučnina \/ povraćanje i nadutost
Neuobičajen
Središnji i periferni nervni sistem:
Vrtoglavica, paraestezija, somnolencija, nesanica i vrtoglavica
HEPTIC: Povećani enzimi jetre
Koža: osip, dermatitis i \/ ili pruritis. Urtikarija
Ostalo: nelagodnost
Rijetko:
Centralni i periferni nervni sistem: reverzibilna mentalna zbrka, uznemirenost, agresija, depresija i hallonkcije, pretežno u teško bolesnim pacijentima
Endokrini: Gynaecomastia
Gastrointestinalno: suha usta, stomatitis i gastrointestinalna kandidijaza
Heematološko: Leukopenija, trombocitopenija, agranulocitoza i pancytopenia
HEPATIC: Encefalopatija kod pacijenata s već postojećom teškom bolešću jetre; hepatitis sa ili bez žutice, nereda jetre
MusculoSkeletel: Artralgija, mišićava slabost i milalgija
Koža: Fotosjestitljivost, Eritema Multiforme, Stevens-Johnson sindrom, toksična epidermalna nekroliza (deset), Alopecija
Ostalo: Reakcije preosjetljivosti npr. Angioedem, groznica, bronhospazam, međuprospasm, međuprostorni nefritis i anafilaktički šok.
Povećani znojenje, periferni edem, zamagljen vid, poremećaj ukusa i hiponatreemia.
Nepovratno oštećenje vida zabilježeno je u izolovanim slučajevima kritički bolesnih pacijenata koji su dobili Omeprazole intravensko ubrizgavanje, posebno na visokim dozama.
Kontraindikacija:poznata preosjetljivost na omeprazol.
Upozorenje i mjere predostrožnosti:U prisustvu bilo kakvog simptoma alarma (npr. Značajan nenamjerno gubitak kilograma, ponavljajući povraćanje, disfagiju, hematemezi ili melena) i kada se u čiru želuca sumnja ili prisutna, mogućnost zloćudnosti treba biti isključena kao tretman ublažavajući simptome i odgodu dijagnozu.
Koristite u trudnoći i dojenju
Rezultati za životinje ne ukazuju na negativne efekte omeprazola na trudnoću ili na zdravlje djeteta fetusa \/ novorođenog. Omeprazol arenot obično se savjetovali za korištenje tokom trudnoće i medicinskih sestara.
Omeprazol se izlučuje u majčinom mlijeku, ali vjerovatno neće utjecati na djetetu kada se koriste terapijske doze.
Uticaj na sposobnost vožnje i upotrebe mašina
Omeprazol vjerovatno ne utječe na sposobnost upravljanja ili upotrebe mašina.
Djeca:Ne postoji stručnjak sa omeperazolom kod djece.
Starije:Prilagođavanje doze nije potrebno u starijim osobama.
Interakcije lijekova
Popularni tagovi: Omeprazole Natrijum za bočicu za ubrizgavanje, Kina Omeprazole Natrijum za ubrizgavanje bočica, dobavljača, fabrike, генерик лиофилизацияланған порошок парентераль инъекция өсөн, тире аҫтына инъекция өсөн сәнәғәт лиофилизацияланған порошок, тире аҫтына инъекция өсөн клиник лиофилизацияланған порошок, күмәртәләп лиофилизацияланған порошок тире аҫтына инъекция өсөн, парентераль инъекция өсөн хәүефһеҙ лиофилизацияланған порошок, тикшеренеүҙең лиофилизацияланған порошок өсөн парентераль инъекция








